High Level Puzzles – Set 01 (in English)
High-Level Reasoning Puzzles for Bank Exams | Set 01 - (Prelims & Mains) - Interactive Quiz
Take this interactive quiz with 25 questions. Topic: High Level 5 - Puzzles (Reasoning) Total Number of Questions: 25 Total Time Available: 40 Minutes General Instructions : 1.You have 40 Minutes for 25 Questions. 2.Negative Marking -…
Question 1: Who among the following owns Tesla?
- Suraj
- Manat
- Jyoti
- Bilal
- None of these
Question 2: How many person(s) lives below the one who owns Bentley?
- None
- One
- Two
- Three
- Four
Question 3: Who among the following lives immediately below Manat?
- Ronak
- Suraj
- Jyoti
- Parth
- Can’t be determined
Question 4: Which of the following combinations is/are correct?
- Suraj – Bentley
- Manat – BMW
- Parth – Ferrari
- All are correct
- None is correct
Question 5: Which of the following cars is owned by Parth?
- Tesla
- Bentley
- Ferrari
- Jaguar
- Can't be determined
Question 6: What is combined age of persons sitting on the smaller mat?
- 102
- 103
- 100
- 105
- 106
Question 7: Select the odd one out?
- C
- H
- A
- G
- F
Question 8: Who is sitting opposite to the one whose age is 15?
- F
- The one whose age is 18
- The one whose age is 24
- Both a and b
- Both a and c
Question 9: Select the odd one out.
- A, G and H
- D, A and B
- D, G and C
- B, E and H
- D, E and H
Question 10: Who is the youngest and the oldest person?
- E and A
- B and H
- D and H
- A and D
- F and G
Question 11: Who among the following covered highest kilometers?
- Priyam
- Vishal
- Saurabh
- Either Priyam or Vishal
- Either Vishal or Saurabh
Question 12: How many friends had taken more number of days than Vipin for bike drive?
- One
- Two
- Three
- Four
- None of these
Question 13: What is the average of Priyam?
- 25
- 8
- 15
- 19
- Cannot be determined
Question 14: Who among the following covered more kilometers than Vishal?
- Saurabh
- Priyam
- Saran
- Both Saurabh and Priyam
- Both Priyam and Saran
Question 15: Who among the following has the lowest average?
- Vipin
- Gautam
- Saran
- Priyam
- None of these
Question 16: Who among the following persons lives in Red coloured house? I. Cal II. Kat III.…
- Both I, II and III
- Only II
- Only IV
- Both II and III
- All II, III and IV
Question 17: What is the colour of the house that is located in GHI colony?
- Blue
- White
- Brown
- Red
- Can’t be determined
Question 18: What is the house number of Jon?
- 2
- 5
- 9
- 12
- Can’t be determined
Question 19: Which of the following combinations is/are incorrect?
- 2 – ABC – Blue
- 9 – GHI – Red
- 5 – PQR – White
- 12 – XYZ – Brown
- All of these
Question 20: In which of the following colonies Roy’s house is situated?
- ABC
- GHI
- PQR
- XYZ
- Can’t be determined
Question 21: C's interview started exactly at 3 pm and there the time duration of 180 minutes…
- G
- H
- D
- B
- A
Question 22: Who among the following wore Green saree?
- The female whose interview lasted for 5 minutes
- The female whose interview lasted for 40 minutes
- The female whose interview lasted for 30 minutes
- The female whose interview lasted for 25 minutes
- None of these
Question 23: Who among the following is the 6th brilliant candidate among all?
- The female whose interview lasted for 65 minutes
- The male whose interview lasted for 15 minutes
- The male who wore white shirt
- The female who wore white saree
- The male who wore Yellow shirt
Question 24: What is the total time duration between the starting time of interviews of the candidates…
- More than 2.5 hours
- 75 minutes
- Less than 30 minutes
- 60 minutes
- 1.5 hours
Question 25: Which of the following statements is/are true?
- A wore Yellow saree
- H wore Yellow shirt
- The person whose interview lasted for 35 minutes wore White shirt
- All are true
- None is true
0 of 25 questions completed
Questions:
- 1
- 2
- 3
- 4
- 5
- 6
- 7
- 8
- 9
- 10
- 11
- 12
- 13
- 14
- 15
- 16
- 17
- 18
- 19
- 20
- 21
- 22
- 23
- 24
- 25
Information
Topic: High Level 5 – Puzzles (Reasoning)
Total Number of Questions: 25
Total Time Available: 40 Minutes
General Instructions :
1.You have 40 Minutes for 25 Questions.
2.Negative Marking – 1/4 penalty (0.25 mark) for each wrong answer.
3.You can unmark your answer by clicking on the “Clear Response” button.
4.Do not click the button “Submit test” before completing the test. A test once submitted cannot be resumed.
—————–
You have already completed the Test before. Hence you can not start it again.
Test is loading...
You have to finish following Test, to start this Test:
Question Navigator
-
Not categorized
Questions Attempted: 0Correct Answers: 0 (Score: 0)Incorrect Answers: 0 (Penalty: 0)
Answer Review for "High-Level Reasoning Puzzles for Bank Exams | Set 01 - (Prelims & Mains)"
Question Navigator
Not categorized
Question 1
Who among the following owns Tesla?

Question 2
How many person(s) lives below the one who owns Bentley?

Question 3
Who among the following lives immediately below Manat?

Question 4
Which of the following combinations is/are correct?

Question 5
Which of the following cars is owned by Parth?

Question 6
What is combined age of persons sitting on the smaller mat?

Question 7
Select the odd one out?

Question 8
Who is sitting opposite to the one whose age is 15?

Question 9
Select the odd one out.

Question 10
Who is the youngest and the oldest person?

Question 11
Who among the following covered highest kilometers?

Question 12
How many friends had taken more number of days than Vipin for bike drive?

Question 13
What is the average of Priyam?

Question 14
Who among the following covered more kilometers than Vishal?

Question 15
Who among the following has the lowest average?

Question 16
Who among the following persons lives in Red coloured house?
I. Cal II. Kat III. Sam IV. Vin

Question 17
What is the colour of the house that is located in GHI colony?

Question 18
What is the house number of Jon?

Question 19
Which of the following combinations is/are incorrect?

Question 20
In which of the following colonies Roy’s house is situated?

Question 21
C’s interview started exactly at 3 pm and there the time duration of 180 minutes between the starting time of ___ and C’s interviews.

Question 22
Who among the following wore Green saree?

Question 23
Who among the following is the 6th brilliant candidate among all?

Question 24
What is the total time duration between the starting time of interviews of the candidates who wore Pink outfits?

Question 25
Which of the following statements is/are true?

- 1
- 2
- 3
- 4
- 5
- 6
- 7
- 8
- 9
- 10
- 11
- 12
- 13
- 14
- 15
- 16
- 17
- 18
- 19
- 20
- 21
- 22
- 23
- 24
- 25
- Answered
- Review
-
Question 1 of 25
1. Question
Puzzle [01]: Six persons – Ronak, Manat, Suraj, Jyoti, Parth, and Bilal were living in a building of six floors. Each of these persons owns a different car – Jaguar, Audi, Ferrari, BMW, Bentley and Tesla, but not necessarily in...Puzzle [01]: Six persons – Ronak, Manat, Suraj, Jyoti, Parth, and Bilal were living in a building of six floors. Each of these persons owns a different car – Jaguar, Audi, Ferrari, BMW, Bentley and Tesla, but not necessarily in the same order. The bottom floor of the building was numbered as 1, the floor above it was numbered as 2 and so on.
There were 2 floors between Bilal and the one who owns Ferrari. Bilal lives below the one who owns Ferrari. The one who owns Tesla lives just above the one who owns Ferrari. Ronak owns Audi and there were 2 floors between Ronak and Parth. There was 1 floor between Jyoti and the one who owns Jaguar. Jyoti lives above the one who owns Jaguar. There were 2 floors between Manat and the one who owns BMW. Manat lives above the one who owns BMW. Manat and Ronak were living on consecutive floors.
Who among the following owns Tesla?
0:00Correct
Incorrect
Unattempted

-
Question 2 of 25
2. Question
Puzzle [01]: Six persons – Ronak, Manat, Suraj, Jyoti, Parth, and Bilal were living in a building of six floors. Each of these persons owns a different car – Jaguar, Audi, Ferrari, BMW, Bentley and Tesla, but not necessarily in...Puzzle [01]: Six persons – Ronak, Manat, Suraj, Jyoti, Parth, and Bilal were living in a building of six floors. Each of these persons owns a different car – Jaguar, Audi, Ferrari, BMW, Bentley and Tesla, but not necessarily in the same order. The bottom floor of the building was numbered as 1, the floor above it was numbered as 2 and so on.
There were 2 floors between Bilal and the one who owns Ferrari. Bilal lives below the one who owns Ferrari. The one who owns Tesla lives just above the one who owns Ferrari. Ronak owns Audi and there were 2 floors between Ronak and Parth. There was 1 floor between Jyoti and the one who owns Jaguar. Jyoti lives above the one who owns Jaguar. There were 2 floors between Manat and the one who owns BMW. Manat lives above the one who owns BMW. Manat and Ronak were living on consecutive floors.
How many person(s) lives below the one who owns Bentley?
0:00Correct
Incorrect
Unattempted

-
Question 3 of 25
3. Question
Puzzle [01]: Six persons – Ronak, Manat, Suraj, Jyoti, Parth, and Bilal were living in a building of six floors. Each of these persons owns a different car – Jaguar, Audi, Ferrari, BMW, Bentley and Tesla, but not necessarily in...Puzzle [01]: Six persons – Ronak, Manat, Suraj, Jyoti, Parth, and Bilal were living in a building of six floors. Each of these persons owns a different car – Jaguar, Audi, Ferrari, BMW, Bentley and Tesla, but not necessarily in the same order. The bottom floor of the building was numbered as 1, the floor above it was numbered as 2 and so on.
There were 2 floors between Bilal and the one who owns Ferrari. Bilal lives below the one who owns Ferrari. The one who owns Tesla lives just above the one who owns Ferrari. Ronak owns Audi and there were 2 floors between Ronak and Parth. There was 1 floor between Jyoti and the one who owns Jaguar. Jyoti lives above the one who owns Jaguar. There were 2 floors between Manat and the one who owns BMW. Manat lives above the one who owns BMW. Manat and Ronak were living on consecutive floors.
Who among the following lives immediately below Manat?
0:00Correct
Incorrect
Unattempted

-
Question 4 of 25
4. Question
Puzzle [01]: Six persons – Ronak, Manat, Suraj, Jyoti, Parth, and Bilal were living in a building of six floors. Each of these persons owns a different car – Jaguar, Audi, Ferrari, BMW, Bentley and Tesla, but not necessarily in...Puzzle [01]: Six persons – Ronak, Manat, Suraj, Jyoti, Parth, and Bilal were living in a building of six floors. Each of these persons owns a different car – Jaguar, Audi, Ferrari, BMW, Bentley and Tesla, but not necessarily in the same order. The bottom floor of the building was numbered as 1, the floor above it was numbered as 2 and so on.
There were 2 floors between Bilal and the one who owns Ferrari. Bilal lives below the one who owns Ferrari. The one who owns Tesla lives just above the one who owns Ferrari. Ronak owns Audi and there were 2 floors between Ronak and Parth. There was 1 floor between Jyoti and the one who owns Jaguar. Jyoti lives above the one who owns Jaguar. There were 2 floors between Manat and the one who owns BMW. Manat lives above the one who owns BMW. Manat and Ronak were living on consecutive floors.
Which of the following combinations is/are correct?
0:00Correct
Incorrect
Unattempted

-
Question 5 of 25
5. Question
Puzzle [01]: Six persons – Ronak, Manat, Suraj, Jyoti, Parth, and Bilal were living in a building of six floors. Each of these persons owns a different car – Jaguar, Audi, Ferrari, BMW, Bentley and Tesla, but not necessarily in...Puzzle [01]: Six persons – Ronak, Manat, Suraj, Jyoti, Parth, and Bilal were living in a building of six floors. Each of these persons owns a different car – Jaguar, Audi, Ferrari, BMW, Bentley and Tesla, but not necessarily in the same order. The bottom floor of the building was numbered as 1, the floor above it was numbered as 2 and so on.
There were 2 floors between Bilal and the one who owns Ferrari. Bilal lives below the one who owns Ferrari. The one who owns Tesla lives just above the one who owns Ferrari. Ronak owns Audi and there were 2 floors between Ronak and Parth. There was 1 floor between Jyoti and the one who owns Jaguar. Jyoti lives above the one who owns Jaguar. There were 2 floors between Manat and the one who owns BMW. Manat lives above the one who owns BMW. Manat and Ronak were living on consecutive floors.
Which of the following cars is owned by Parth?
0:00Correct
Incorrect
Unattempted

-
Question 6 of 25
6. Question
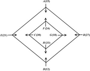
Puzzle [02]: Eight persons are sitting on the corners of rhombus shaped mats. Small mat is kept on bigger mat so that their centers are coinciding with each other and their sides are parallel to each other. The age of...Puzzle [02]: Eight persons are sitting on the corners of rhombus shaped mats. Small mat is kept on bigger mat so that their centers are coinciding with each other and their sides are parallel to each other. The age of every person is different. Their ages are of consecutive multiples of 3 starting from 12. The persons sitting on the corners of smaller mat are facing away from the center and the persons sitting on the corners of bigger mat are facing towards the center.
Combined age of persons sitting on the bigger mat is 5th multiple of 15.
Age of B is not 30.
H is the eldest of all and faces away from the center.
Age of the one who sits between the second eldest and the third youngest person is 24 and faces A.
The one whose age is more than 30 is facing the one who is the neighbor of E.
C is younger than only H and sits opposite to the one whose age is 21.
A is not the youngest.
B is facing towards the center.
Combined age of neighbors of E is equal to the age of B who is facing towards the center.
F sits immediately left of G and F is not sitting opposite to B.What is combined age of persons sitting on the smaller mat?
0:00Correct
Incorrect
Unattempted

-
Question 7 of 25
7. Question
Puzzle [02]: Eight persons are sitting on the corners of rhombus shaped mats. Small mat is kept on bigger mat so that their centers are coinciding with each other and their sides are parallel to each other. The age of...Puzzle [02]: Eight persons are sitting on the corners of rhombus shaped mats. Small mat is kept on bigger mat so that their centers are coinciding with each other and their sides are parallel to each other. The age of every person is different. Their ages are of consecutive multiples of 3 starting from 12. The persons sitting on the corners of smaller mat are facing away from the center and the persons sitting on the corners of bigger mat are facing towards the center.
Combined age of persons sitting on the bigger mat is 5th multiple of 15.
Age of B is not 30.
H is the eldest of all and faces away from the center.
Age of the one who sits between the second eldest and the third youngest person is 24 and faces A.
The one whose age is more than 30 is facing the one who is the neighbor of E.
C is younger than only H and sits opposite to the one whose age is 21.
A is not the youngest.
B is facing towards the center.
Combined age of neighbors of E is equal to the age of B who is facing towards the center.
F sits immediately left of G and F is not sitting opposite to B.Select the odd one out?
0:00Correct
Incorrect
Unattempted

-
Question 8 of 25
8. Question
Puzzle [02]: Eight persons are sitting on the corners of rhombus shaped mats. Small mat is kept on bigger mat so that their centers are coinciding with each other and their sides are parallel to each other. The age of...Puzzle [02]: Eight persons are sitting on the corners of rhombus shaped mats. Small mat is kept on bigger mat so that their centers are coinciding with each other and their sides are parallel to each other. The age of every person is different. Their ages are of consecutive multiples of 3 starting from 12. The persons sitting on the corners of smaller mat are facing away from the center and the persons sitting on the corners of bigger mat are facing towards the center.
Combined age of persons sitting on the bigger mat is 5th multiple of 15.
Age of B is not 30.
H is the eldest of all and faces away from the center.
Age of the one who sits between the second eldest and the third youngest person is 24 and faces A.
The one whose age is more than 30 is facing the one who is the neighbor of E.
C is younger than only H and sits opposite to the one whose age is 21.
A is not the youngest.
B is facing towards the center.
Combined age of neighbors of E is equal to the age of B who is facing towards the center.
F sits immediately left of G and F is not sitting opposite to B.Who is sitting opposite to the one whose age is 15?
0:00Correct
Incorrect
Unattempted

-
Question 9 of 25
9. Question
Puzzle [02]: Eight persons are sitting on the corners of rhombus shaped mats. Small mat is kept on bigger mat so that their centers are coinciding with each other and their sides are parallel to each other. The age of...Puzzle [02]: Eight persons are sitting on the corners of rhombus shaped mats. Small mat is kept on bigger mat so that their centers are coinciding with each other and their sides are parallel to each other. The age of every person is different. Their ages are of consecutive multiples of 3 starting from 12. The persons sitting on the corners of smaller mat are facing away from the center and the persons sitting on the corners of bigger mat are facing towards the center.
Combined age of persons sitting on the bigger mat is 5th multiple of 15.
Age of B is not 30.
H is the eldest of all and faces away from the center.
Age of the one who sits between the second eldest and the third youngest person is 24 and faces A.
The one whose age is more than 30 is facing the one who is the neighbor of E.
C is younger than only H and sits opposite to the one whose age is 21.
A is not the youngest.
B is facing towards the center.
Combined age of neighbors of E is equal to the age of B who is facing towards the center.
F sits immediately left of G and F is not sitting opposite to B.Select the odd one out.
0:00Correct
Incorrect
Unattempted

-
Question 10 of 25
10. Question
Puzzle [02]: Eight persons are sitting on the corners of rhombus shaped mats. Small mat is kept on bigger mat so that their centers are coinciding with each other and their sides are parallel to each other. The age of...Puzzle [02]: Eight persons are sitting on the corners of rhombus shaped mats. Small mat is kept on bigger mat so that their centers are coinciding with each other and their sides are parallel to each other. The age of every person is different. Their ages are of consecutive multiples of 3 starting from 12. The persons sitting on the corners of smaller mat are facing away from the center and the persons sitting on the corners of bigger mat are facing towards the center.
Combined age of persons sitting on the bigger mat is 5th multiple of 15.
Age of B is not 30.
H is the eldest of all and faces away from the center.
Age of the one who sits between the second eldest and the third youngest person is 24 and faces A.
The one whose age is more than 30 is facing the one who is the neighbor of E.
C is younger than only H and sits opposite to the one whose age is 21.
A is not the youngest.
B is facing towards the center.
Combined age of neighbors of E is equal to the age of B who is facing towards the center.
F sits immediately left of G and F is not sitting opposite to B.Who is the youngest and the oldest person?
0:00Correct
Incorrect
Unattempted

-
Question 11 of 25
11. Question
Puzzle [03]: Saurabh, Vishal, Saran, Priyam, Vipin and Gautam are six friends. Each of them went for bike drive on different number of days among 5, 7, 9, 10, 12 and 15 but not necessarily in the same order. Each...Puzzle [03]: Saurabh, Vishal, Saran, Priyam, Vipin and Gautam are six friends. Each of them went for bike drive on different number of days among 5, 7, 9, 10, 12 and 15 but not necessarily in the same order. Each of them also covered different kilometers among those days like 60, 96, 112, 210, 225 and 300 but not necessarily in the same order. The average kilometer covered by each person is calculated by dividing the number of kilometers covered by him with the number of days taken by him. For example, if Saran covered 210 kilometers in 9 days, his average is 210/9 i.e. 23.33.
Vishal went for drive for more number of days than Gautam. The number of days taken by Gautam is equal to the total number of days taken by Saran and Vipin. For all the persons, average is whole number and less than 50. The average of Saran is equal to the number of days taken by Gautam for bike drive. Saurabh went for drive for more number of days than Priyam and has more average than Priyam. The average of Vipin is twice the average of Gautam.
Who among the following covered highest kilometers?
0:00Correct
Incorrect
Unattempted

-
Question 12 of 25
12. Question
Puzzle [03]: Saurabh, Vishal, Saran, Priyam, Vipin and Gautam are six friends. Each of them went for bike drive on different number of days among 5, 7, 9, 10, 12 and 15 but not necessarily in the same order. Each...Puzzle [03]: Saurabh, Vishal, Saran, Priyam, Vipin and Gautam are six friends. Each of them went for bike drive on different number of days among 5, 7, 9, 10, 12 and 15 but not necessarily in the same order. Each of them also covered different kilometers among those days like 60, 96, 112, 210, 225 and 300 but not necessarily in the same order. The average kilometer covered by each person is calculated by dividing the number of kilometers covered by him with the number of days taken by him. For example, if Saran covered 210 kilometers in 9 days, his average is 210/9 i.e. 23.33.
Vishal went for drive for more number of days than Gautam. The number of days taken by Gautam is equal to the total number of days taken by Saran and Vipin. For all the persons, average is whole number and less than 50. The average of Saran is equal to the number of days taken by Gautam for bike drive. Saurabh went for drive for more number of days than Priyam and has more average than Priyam. The average of Vipin is twice the average of Gautam.
How many friends had taken more number of days than Vipin for bike drive?
0:00Correct
Incorrect
Unattempted

-
Question 13 of 25
13. Question
Puzzle [03]: Saurabh, Vishal, Saran, Priyam, Vipin and Gautam are six friends. Each of them went for bike drive on different number of days among 5, 7, 9, 10, 12 and 15 but not necessarily in the same order. Each...Puzzle [03]: Saurabh, Vishal, Saran, Priyam, Vipin and Gautam are six friends. Each of them went for bike drive on different number of days among 5, 7, 9, 10, 12 and 15 but not necessarily in the same order. Each of them also covered different kilometers among those days like 60, 96, 112, 210, 225 and 300 but not necessarily in the same order. The average kilometer covered by each person is calculated by dividing the number of kilometers covered by him with the number of days taken by him. For example, if Saran covered 210 kilometers in 9 days, his average is 210/9 i.e. 23.33.
Vishal went for drive for more number of days than Gautam. The number of days taken by Gautam is equal to the total number of days taken by Saran and Vipin. For all the persons, average is whole number and less than 50. The average of Saran is equal to the number of days taken by Gautam for bike drive. Saurabh went for drive for more number of days than Priyam and has more average than Priyam. The average of Vipin is twice the average of Gautam.
What is the average of Priyam?
0:00Correct
Incorrect
Unattempted

-
Question 14 of 25
14. Question
Puzzle [03]: Saurabh, Vishal, Saran, Priyam, Vipin and Gautam are six friends. Each of them went for bike drive on different number of days among 5, 7, 9, 10, 12 and 15 but not necessarily in the same order. Each...Puzzle [03]: Saurabh, Vishal, Saran, Priyam, Vipin and Gautam are six friends. Each of them went for bike drive on different number of days among 5, 7, 9, 10, 12 and 15 but not necessarily in the same order. Each of them also covered different kilometers among those days like 60, 96, 112, 210, 225 and 300 but not necessarily in the same order. The average kilometer covered by each person is calculated by dividing the number of kilometers covered by him with the number of days taken by him. For example, if Saran covered 210 kilometers in 9 days, his average is 210/9 i.e. 23.33.
Vishal went for drive for more number of days than Gautam. The number of days taken by Gautam is equal to the total number of days taken by Saran and Vipin. For all the persons, average is whole number and less than 50. The average of Saran is equal to the number of days taken by Gautam for bike drive. Saurabh went for drive for more number of days than Priyam and has more average than Priyam. The average of Vipin is twice the average of Gautam.
Who among the following covered more kilometers than Vishal?
0:00Correct
Incorrect
Unattempted

-
Question 15 of 25
15. Question
Puzzle [03]: Saurabh, Vishal, Saran, Priyam, Vipin and Gautam are six friends. Each of them went for bike drive on different number of days among 5, 7, 9, 10, 12 and 15 but not necessarily in the same order. Each...Puzzle [03]: Saurabh, Vishal, Saran, Priyam, Vipin and Gautam are six friends. Each of them went for bike drive on different number of days among 5, 7, 9, 10, 12 and 15 but not necessarily in the same order. Each of them also covered different kilometers among those days like 60, 96, 112, 210, 225 and 300 but not necessarily in the same order. The average kilometer covered by each person is calculated by dividing the number of kilometers covered by him with the number of days taken by him. For example, if Saran covered 210 kilometers in 9 days, his average is 210/9 i.e. 23.33.
Vishal went for drive for more number of days than Gautam. The number of days taken by Gautam is equal to the total number of days taken by Saran and Vipin. For all the persons, average is whole number and less than 50. The average of Saran is equal to the number of days taken by Gautam for bike drive. Saurabh went for drive for more number of days than Priyam and has more average than Priyam. The average of Vipin is twice the average of Gautam.
Who among the following has the lowest average?
0:00Correct
Incorrect
Unattempted

-
Question 16 of 25
16. Question
Puzzle [04]: Twelve persons – Cal, Pam, Aby, Bil, Vin, Dev, Tim, Roy, Jon, Kat, Sam and Dia live in 4 different houses, such that 3 persons live in each house. Houses are numbered as 2, 5, 9 and 12....Puzzle [04]: Twelve persons – Cal, Pam, Aby, Bil, Vin, Dev, Tim, Roy, Jon, Kat, Sam and Dia live in 4 different houses, such that 3 persons live in each house. Houses are numbered as 2, 5, 9 and 12. Each house is painted with a different colour – Red, White, Blue and Brown (not necessarily in the same order). Each house is situated in a different colony – ABC, GHI, PQR, and XYZ (not necessarily in the same order).
Cal and Tim are from the same house and their house’s number is odd. The colour of Dia’s house is White. The colour of Pam’s and Kat’s house is Red. Vin and Bil are from different houses but they are from even numbered house. Brown and Blue are the colours of even numbered houses. Roy is from an odd numbered house. Dev and Aby are not from same house but Aby is from Blue coloured house. The colour of House number 2 is not Brown. Aby’s house is in PQR colony. House number 9 is in XYZ colony but it is not red coloured house. Bil and Sam share same house in ABC colony.
Who among the following persons lives in Red coloured house?
I. Cal II. Kat III. Sam IV. Vin0:00Correct
Incorrect
Unattempted

-
Question 17 of 25
17. Question
Puzzle [04]: Twelve persons – Cal, Pam, Aby, Bil, Vin, Dev, Tim, Roy, Jon, Kat, Sam and Dia live in 4 different houses, such that 3 persons live in each house. Houses are numbered as 2, 5, 9 and 12....Puzzle [04]: Twelve persons – Cal, Pam, Aby, Bil, Vin, Dev, Tim, Roy, Jon, Kat, Sam and Dia live in 4 different houses, such that 3 persons live in each house. Houses are numbered as 2, 5, 9 and 12. Each house is painted with a different colour – Red, White, Blue and Brown (not necessarily in the same order). Each house is situated in a different colony – ABC, GHI, PQR, and XYZ (not necessarily in the same order).
Cal and Tim are from the same house and their house’s number is odd. The colour of Dia’s house is White. The colour of Pam’s and Kat’s house is Red. Vin and Bil are from different houses but they are from even numbered house. Brown and Blue are the colours of even numbered houses. Roy is from an odd numbered house. Dev and Aby are not from same house but Aby is from Blue coloured house. The colour of House number 2 is not Brown. Aby’s house is in PQR colony. House number 9 is in XYZ colony but it is not red coloured house. Bil and Sam share same house in ABC colony.
What is the colour of the house that is located in GHI colony?
0:00Correct
Incorrect
Unattempted

-
Question 18 of 25
18. Question
Puzzle [04]: Twelve persons – Cal, Pam, Aby, Bil, Vin, Dev, Tim, Roy, Jon, Kat, Sam and Dia live in 4 different houses, such that 3 persons live in each house. Houses are numbered as 2, 5, 9 and 12....Puzzle [04]: Twelve persons – Cal, Pam, Aby, Bil, Vin, Dev, Tim, Roy, Jon, Kat, Sam and Dia live in 4 different houses, such that 3 persons live in each house. Houses are numbered as 2, 5, 9 and 12. Each house is painted with a different colour – Red, White, Blue and Brown (not necessarily in the same order). Each house is situated in a different colony – ABC, GHI, PQR, and XYZ (not necessarily in the same order).
Cal and Tim are from the same house and their house’s number is odd. The colour of Dia’s house is White. The colour of Pam’s and Kat’s house is Red. Vin and Bil are from different houses but they are from even numbered house. Brown and Blue are the colours of even numbered houses. Roy is from an odd numbered house. Dev and Aby are not from same house but Aby is from Blue coloured house. The colour of House number 2 is not Brown. Aby’s house is in PQR colony. House number 9 is in XYZ colony but it is not red coloured house. Bil and Sam share same house in ABC colony.
What is the house number of Jon?
0:00Correct
Incorrect
Unattempted

-
Question 19 of 25
19. Question
Puzzle [04]: Twelve persons – Cal, Pam, Aby, Bil, Vin, Dev, Tim, Roy, Jon, Kat, Sam and Dia live in 4 different houses, such that 3 persons live in each house. Houses are numbered as 2, 5, 9 and 12....Puzzle [04]: Twelve persons – Cal, Pam, Aby, Bil, Vin, Dev, Tim, Roy, Jon, Kat, Sam and Dia live in 4 different houses, such that 3 persons live in each house. Houses are numbered as 2, 5, 9 and 12. Each house is painted with a different colour – Red, White, Blue and Brown (not necessarily in the same order). Each house is situated in a different colony – ABC, GHI, PQR, and XYZ (not necessarily in the same order).
Cal and Tim are from the same house and their house’s number is odd. The colour of Dia’s house is White. The colour of Pam’s and Kat’s house is Red. Vin and Bil are from different houses but they are from even numbered house. Brown and Blue are the colours of even numbered houses. Roy is from an odd numbered house. Dev and Aby are not from same house but Aby is from Blue coloured house. The colour of House number 2 is not Brown. Aby’s house is in PQR colony. House number 9 is in XYZ colony but it is not red coloured house. Bil and Sam share same house in ABC colony.
Which of the following combinations is/are incorrect?
0:00Correct
Incorrect
Unattempted

-
Question 20 of 25
20. Question
Puzzle [04]: Twelve persons – Cal, Pam, Aby, Bil, Vin, Dev, Tim, Roy, Jon, Kat, Sam and Dia live in 4 different houses, such that 3 persons live in each house. Houses are numbered as 2, 5, 9 and 12....Puzzle [04]: Twelve persons – Cal, Pam, Aby, Bil, Vin, Dev, Tim, Roy, Jon, Kat, Sam and Dia live in 4 different houses, such that 3 persons live in each house. Houses are numbered as 2, 5, 9 and 12. Each house is painted with a different colour – Red, White, Blue and Brown (not necessarily in the same order). Each house is situated in a different colony – ABC, GHI, PQR, and XYZ (not necessarily in the same order).
Cal and Tim are from the same house and their house’s number is odd. The colour of Dia’s house is White. The colour of Pam’s and Kat’s house is Red. Vin and Bil are from different houses but they are from even numbered house. Brown and Blue are the colours of even numbered houses. Roy is from an odd numbered house. Dev and Aby are not from same house but Aby is from Blue coloured house. The colour of House number 2 is not Brown. Aby’s house is in PQR colony. House number 9 is in XYZ colony but it is not red coloured house. Bil and Sam share same house in ABC colony.
In which of the following colonies Roy’s house is situated?
0:00Correct
Incorrect
Unattempted

-
Question 21 of 25
21. Question
Puzzle [05]: The interviews of four female candidates A, B, C, D and four males candidates E, F, G and H are scheduled in the same day. Male candidates wore Pink, Green, White and Yellow coloured shirts while female candidates...Puzzle [05]: The interviews of four female candidates A, B, C, D and four males candidates E, F, G and H are scheduled in the same day. Male candidates wore Pink, Green, White and Yellow coloured shirts while female candidates wore Pink, Green, White and Yellow coloured sarees. Each interview lasted for a different time duration, which is a multiple of 5. The interview duration decreases from the most brilliant to the least brilliant candidate.
Note: The interviews were conducted one after the other without any break.
C and F wore White coloured saree and shirt, respectively. D, whose interview lasted for 25 minutes, wore Pink saree. Two interviews were scheduled between B and F. H’s interview lasted for 45 minutes. Three interview were scheduled between the interviews of A and E. A is more brilliant than E and F. H is brilliant than A but not brilliant than B. The interviews of males were not scheduled adjacently. The total time duration of C’s and E’s interview was 35 minutes. The person, whose interview lasted for 5 minutes, wore Green shirt. Neither B nor G wore Yellow colour outfit.
C’s interview started exactly at 3 pm and there the time duration of 180 minutes between the starting time of ___ and C’s interviews.
0:00Correct
Incorrect
Unattempted

-
Question 22 of 25
22. Question
Puzzle [05]: The interviews of four female candidates A, B, C, D and four males candidates E, F, G and H are scheduled in the same day. Male candidates wore Pink, Green, White and Yellow coloured shirts while female candidates...Puzzle [05]: The interviews of four female candidates A, B, C, D and four males candidates E, F, G and H are scheduled in the same day. Male candidates wore Pink, Green, White and Yellow coloured shirts while female candidates wore Pink, Green, White and Yellow coloured sarees. Each interview lasted for a different time duration, which is a multiple of 5. The interview duration decreases from the most brilliant to the least brilliant candidate.
Note: The interviews were conducted one after the other without any break.
C and F wore White coloured saree and shirt, respectively. D, whose interview lasted for 25 minutes, wore Pink saree. Two interviews were scheduled between B and F. H’s interview lasted for 45 minutes. Three interview were scheduled between the interviews of A and E. A is more brilliant than E and F. H is brilliant than A but not brilliant than B. The interviews of males were not scheduled adjacently. The total time duration of C’s and E’s interview was 35 minutes. The person, whose interview lasted for 5 minutes, wore Green shirt. Neither B nor G wore Yellow colour outfit.
Who among the following wore Green saree?
0:00Correct
Incorrect
Unattempted

-
Question 23 of 25
23. Question
Puzzle [05]: The interviews of four female candidates A, B, C, D and four males candidates E, F, G and H are scheduled in the same day. Male candidates wore Pink, Green, White and Yellow coloured shirts while female candidates...Puzzle [05]: The interviews of four female candidates A, B, C, D and four males candidates E, F, G and H are scheduled in the same day. Male candidates wore Pink, Green, White and Yellow coloured shirts while female candidates wore Pink, Green, White and Yellow coloured sarees. Each interview lasted for a different time duration, which is a multiple of 5. The interview duration decreases from the most brilliant to the least brilliant candidate.
Note: The interviews were conducted one after the other without any break.
C and F wore White coloured saree and shirt, respectively. D, whose interview lasted for 25 minutes, wore Pink saree. Two interviews were scheduled between B and F. H’s interview lasted for 45 minutes. Three interview were scheduled between the interviews of A and E. A is more brilliant than E and F. H is brilliant than A but not brilliant than B. The interviews of males were not scheduled adjacently. The total time duration of C’s and E’s interview was 35 minutes. The person, whose interview lasted for 5 minutes, wore Green shirt. Neither B nor G wore Yellow colour outfit.
Who among the following is the 6th brilliant candidate among all?
0:00Correct
Incorrect
Unattempted

-
Question 24 of 25
24. Question
Puzzle [05]: The interviews of four female candidates A, B, C, D and four males candidates E, F, G and H are scheduled in the same day. Male candidates wore Pink, Green, White and Yellow coloured shirts while female candidates...Puzzle [05]: The interviews of four female candidates A, B, C, D and four males candidates E, F, G and H are scheduled in the same day. Male candidates wore Pink, Green, White and Yellow coloured shirts while female candidates wore Pink, Green, White and Yellow coloured sarees. Each interview lasted for a different time duration, which is a multiple of 5. The interview duration decreases from the most brilliant to the least brilliant candidate.
Note: The interviews were conducted one after the other without any break.
C and F wore White coloured saree and shirt, respectively. D, whose interview lasted for 25 minutes, wore Pink saree. Two interviews were scheduled between B and F. H’s interview lasted for 45 minutes. Three interview were scheduled between the interviews of A and E. A is more brilliant than E and F. H is brilliant than A but not brilliant than B. The interviews of males were not scheduled adjacently. The total time duration of C’s and E’s interview was 35 minutes. The person, whose interview lasted for 5 minutes, wore Green shirt. Neither B nor G wore Yellow colour outfit.
What is the total time duration between the starting time of interviews of the candidates who wore Pink outfits?
0:00Correct
Incorrect
Unattempted

-
Question 25 of 25
25. Question
Puzzle [05]: The interviews of four female candidates A, B, C, D and four males candidates E, F, G and H are scheduled in the same day. Male candidates wore Pink, Green, White and Yellow coloured shirts while female candidates...Puzzle [05]: The interviews of four female candidates A, B, C, D and four males candidates E, F, G and H are scheduled in the same day. Male candidates wore Pink, Green, White and Yellow coloured shirts while female candidates wore Pink, Green, White and Yellow coloured sarees. Each interview lasted for a different time duration, which is a multiple of 5. The interview duration decreases from the most brilliant to the least brilliant candidate.
Note: The interviews were conducted one after the other without any break.
C and F wore White coloured saree and shirt, respectively. D, whose interview lasted for 25 minutes, wore Pink saree. Two interviews were scheduled between B and F. H’s interview lasted for 45 minutes. Three interview were scheduled between the interviews of A and E. A is more brilliant than E and F. H is brilliant than A but not brilliant than B. The interviews of males were not scheduled adjacently. The total time duration of C’s and E’s interview was 35 minutes. The person, whose interview lasted for 5 minutes, wore Green shirt. Neither B nor G wore Yellow colour outfit.
Which of the following statements is/are true?
0:00Correct
Incorrect
Unattempted

high level reasoning puzzles set 01, high level puzzles with answers, high level reasoning questions, high level puzzles for bank exams, high level logical reasoning puzzles, high level puzzle questions, high level reasoning set 01, high level puzzle quiz, high level puzzles for SBI PO, high level puzzles for IBPS PO, high level puzzles for clerk exam, high level puzzles for SSC CGL, high level puzzles for SSC CHSL, high level puzzles for bank clerk, high level puzzles for RRB PO, high level puzzles for insurance exams, high level puzzles with answers and explanation, high level reasoning puzzles for competitive exams, high level puzzles for banking and SSC exams, high level puzzle questions for practice, high level logical reasoning puzzles with solution, high level floor based puzzle set 01, high level seating arrangement puzzle set 01, reasoning puzzles pdf, puzzle questions for bank exams, logical reasoning practice set, reasoning puzzle quiz online, high level reasoning pdf, reasoning mock test puzzles, daily reasoning puzzle, High Level Puzzles Set 01, Reasoning Puzzle Set 01, Ultimate High Level Puzzle Practice, Bank Exam High Level Puzzle Series high level puzzles, high level reasoning puzzles, high level puzzle questions, high level puzzles with answers, high level logical reasoning puzzles, high level puzzles for bank exams, high level puzzles for SSC, high level puzzles for SBI PO, high level puzzles for IBPS PO, high level puzzles for clerk exam, high level puzzles for competitive exams, high level puzzles with explanation, high level puzzle practice, high level puzzle quiz, high level reasoning set, high level puzzle series, daily high level puzzles, high level seating arrangement puzzle, high level floor based puzzle, high level reasoning questions, advanced reasoning puzzles, tough reasoning puzzles, difficult puzzles for exams high level puzzles for banking exams, high level puzzles for insurance exams, high level puzzles for RRB PO, high level puzzles for SBI clerk, high level puzzles for IBPS clerk, high level puzzles for PO and clerk exams, high level puzzles for CAT, high level puzzles for MAT, high level puzzles for CLAT, high level puzzles for NDA, high level puzzles for CDS, high level puzzles for UPSC, high level puzzles for SSC CGL CHSL MTS, high level puzzles for railway exams, high level reasoning puzzles online, high level puzzle test, high level puzzle mock test, high level puzzle worksheet, high level puzzle pdf download, high level puzzle practice set, high level puzzle question bank, high level puzzle with solutions, high level puzzle with explanation pdf, high level puzzle for competitive exams pdf, best high level puzzles, toughest high level puzzles, premium high level puzzle series, daily high level puzzle practice